Contenido principal

Estudios y estadísticas

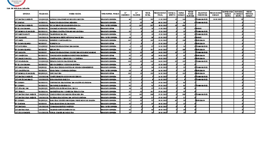
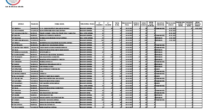
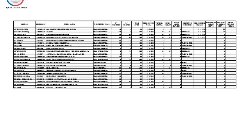
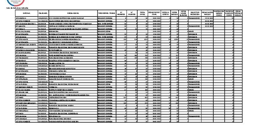
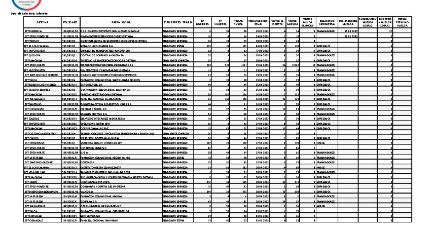
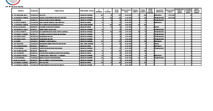
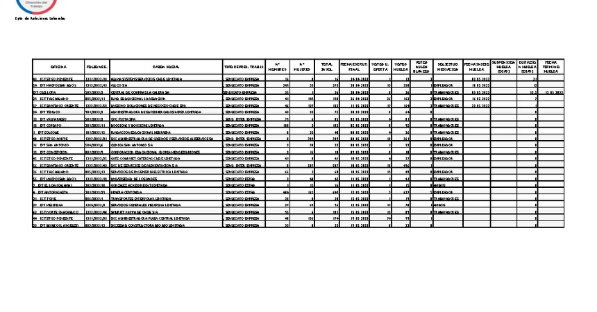
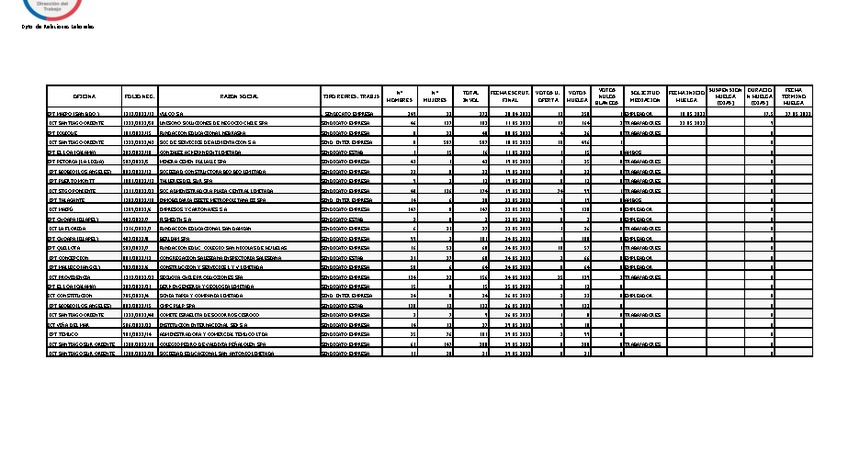
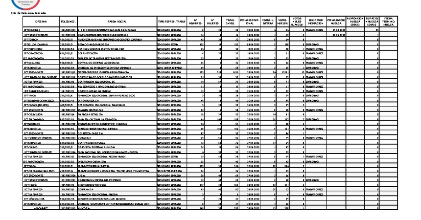
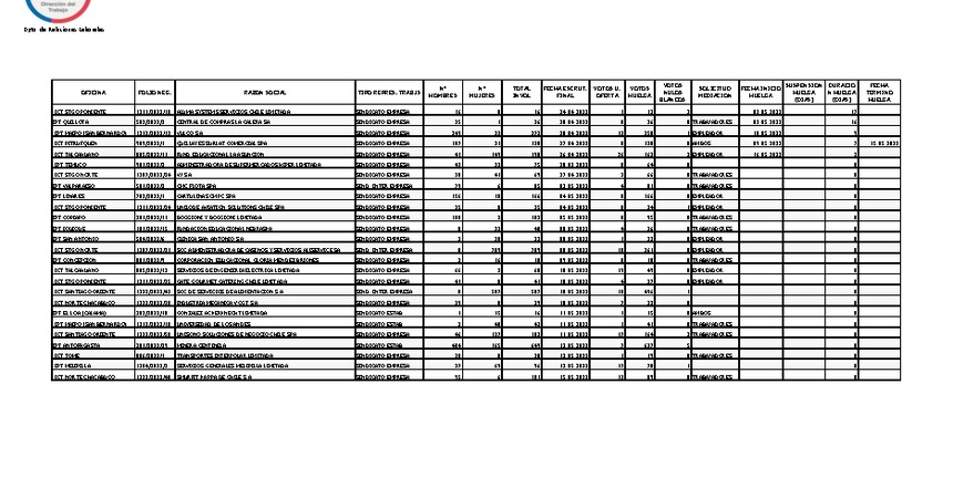
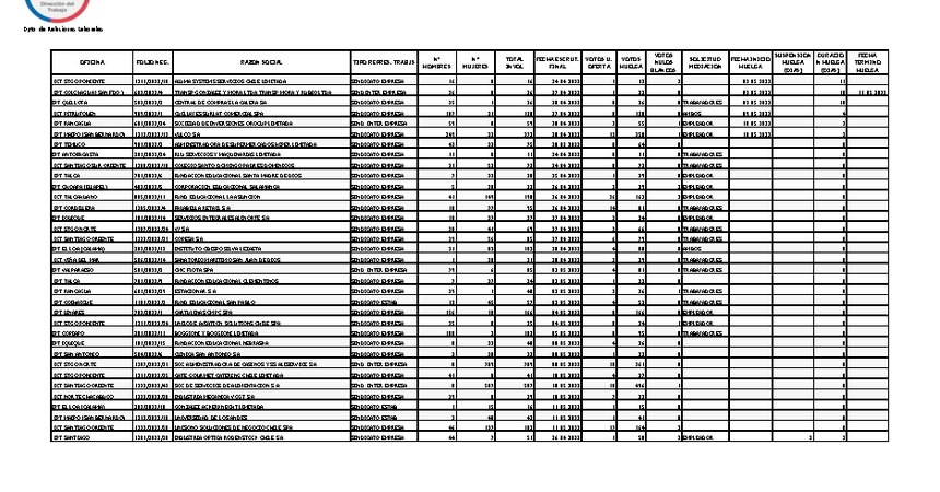
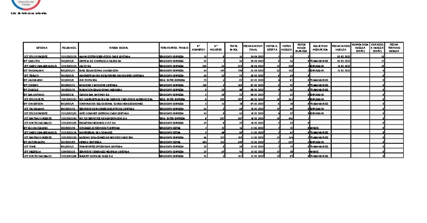
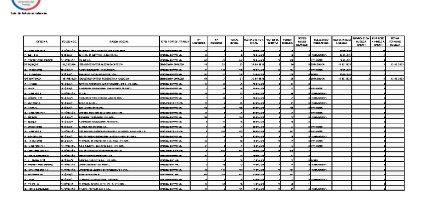
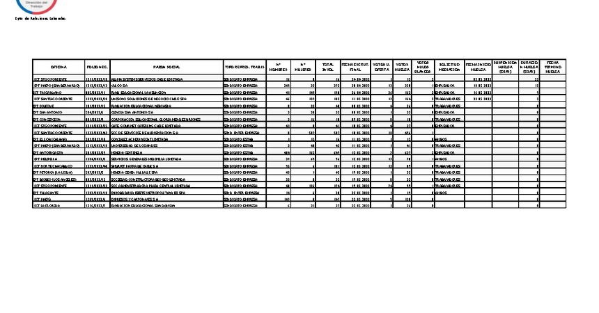
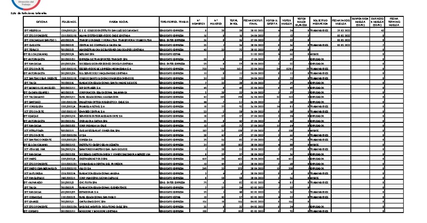
Informe diario de huelgas mayo 2023

Informe 31.05.2023Informe 31.05.2023pdf381.1kb Informe 30.05.2023Informe 30.05.2023pdf373.5kb Informe 29.05.2023Informe 29.05.2023pdf370.4kb Informe 26.05.2023Informe 26.05.2023pdf367.9kb Informe 25.05.2023Informe 25.05.2023pdf367.9kb Informe 24.05.2023Informe 24.05.2023pdf367.7kb Informe 23.05.2023Informe 23.05.2023pdf368.3kb Informe 22.05.2023Informe 22.05.2023pdf369.6kb Informe 19.05.2023Informe 19.05.2023pdf371.2kb Informe 18.05.2023Informe 18.05.2023pdf375.7kb Informe 17.05.2023Informe 17.05.2023pdf380.9kb Informe 16.05.2023Informe 16.05.2023pdf378.7kb Informe 15.05.2023Informe 15.05.2023pdf382.3kb Informe 12.05.2023Informe 12.05.2023pdf384.6kb Informe 11.05.2023Informe 11.05.2023pdf383.5kb Informe 10.05.2023Informe 10.05.2023pdf383.8kb Informe 09.05.2023Informe 09.05.2023pdf390kb Informe 08.05.2023Informe 08.05.2023pdf397.3kb Informe 05.05.2023Informe 05.05.2023pdf390.8kb Informe 04.05.2023Informe 04.05.2023pdf390.7kb Informe 03.05.2023Informe 03.05.2023pdf392.3kb Informe 02.05.2023Informe 02.05.2023pdf387.9kb