Contenido principal

Estudios y estadísticas

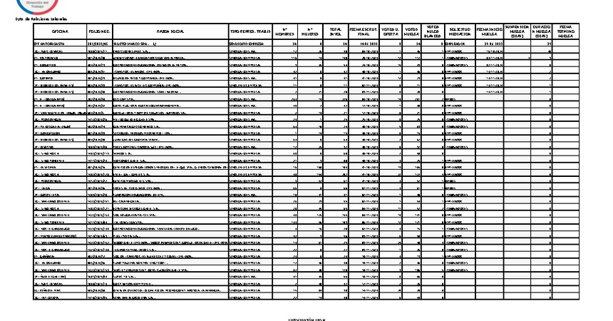
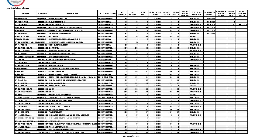
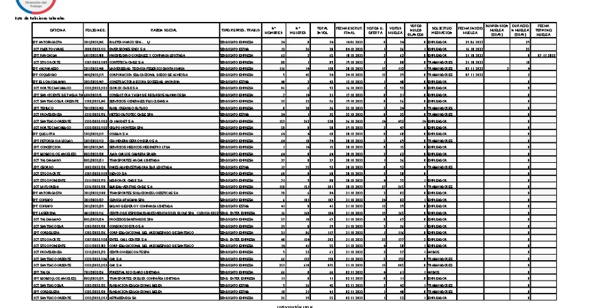
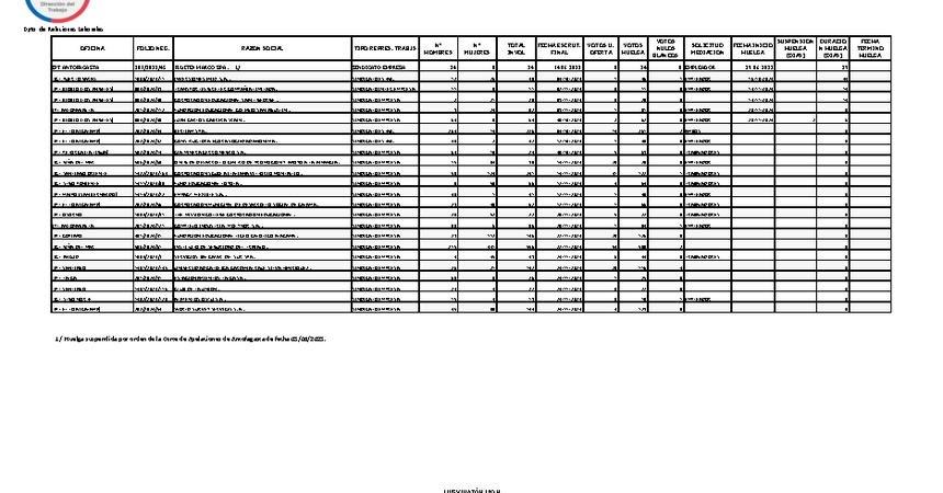
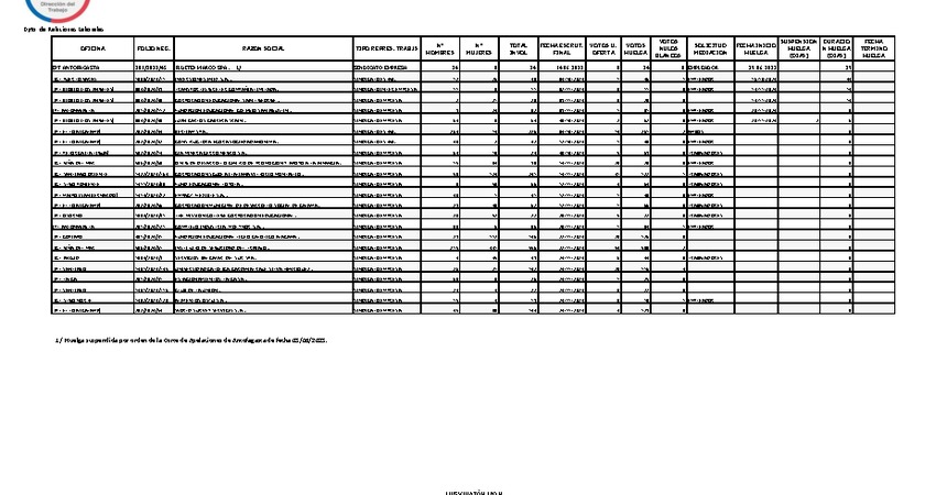
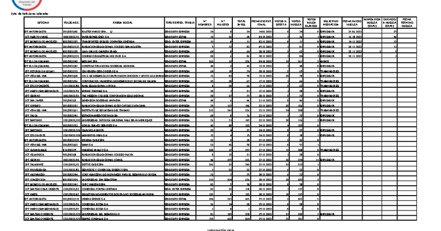
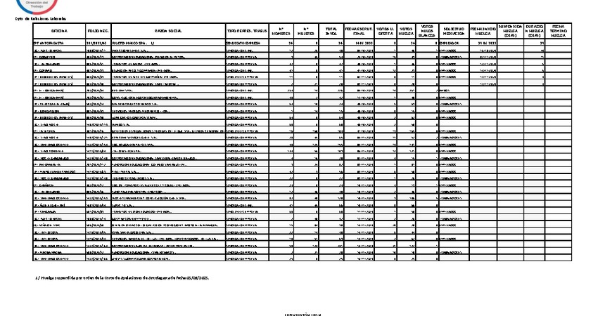
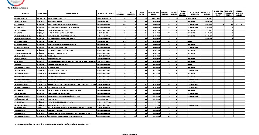
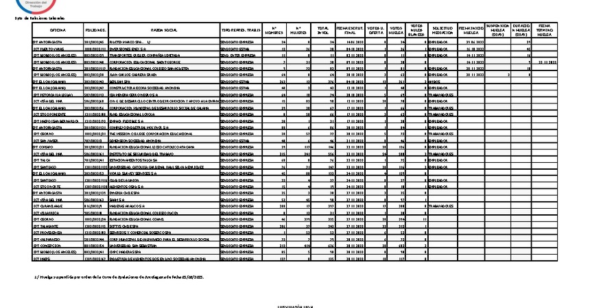
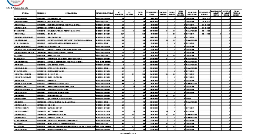
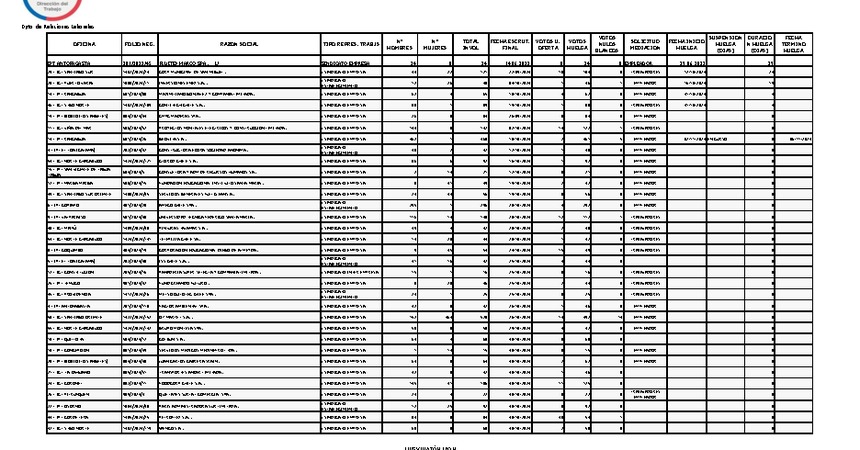
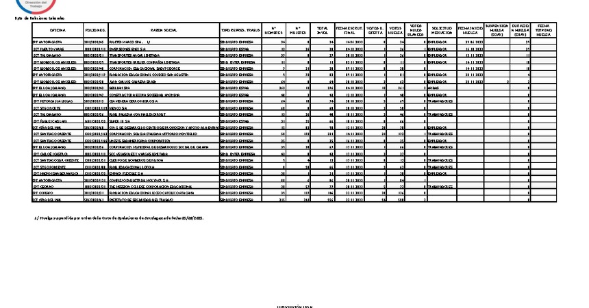
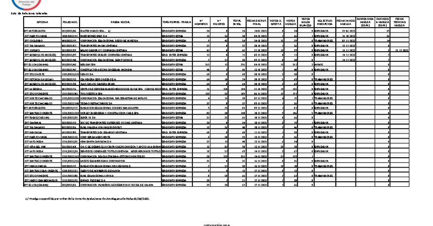
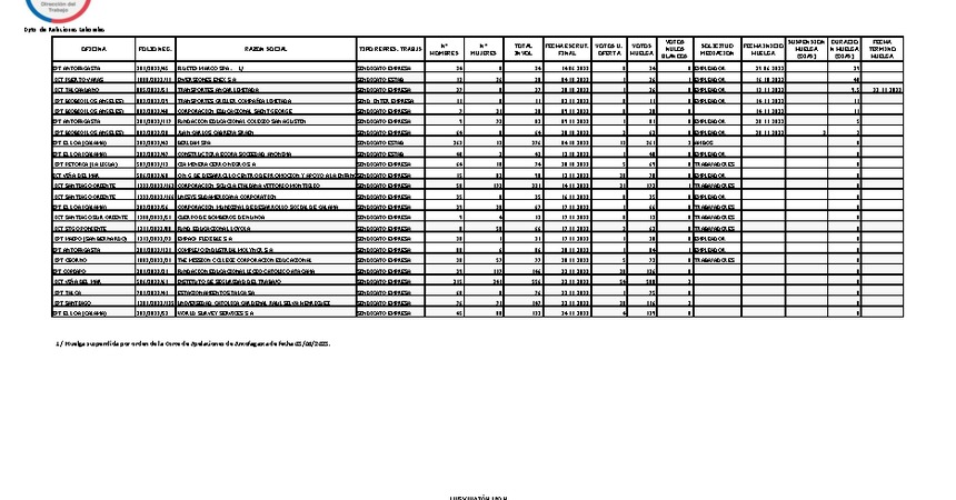
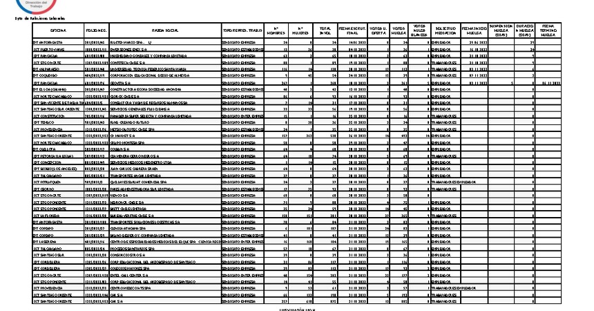
Informe diario de huelgas legales Noviembre 2023

Informe 30.11.2023Informe 30.11.2023pdf588.1kb Informe 29.11.2023Informe 29.11.2023pdf579.9kb Informe 28.11.2023Informe 28.11.2023pdf571.1kb Informe 27.11.2023Informe 27.11.2023pdf570.4kb Informe 24.11.2023Informe 24.11.2023pdf571.2kb Informe 23.11.2023Informe 23.11.2023pdf570.6kb Informe 22.11.2023Informe 22.11.2023pdf572.2kb Informe 21.11.2023Informe 21.11.2023pdf577.7kb Informe 20.11.2023Informe 20.11.2023pdf579.6kb Informe 17.11.2023Informe 17.11.2023pdf580.2kb Informe 16.11.2023Informe 16.11.2023pdf581.6kb Informe 15.11.2023Informe 15.11.2023pdf583.2kb Informe 14.11.2023Informe 14.11.2023pdf591.7kb Informe 13.11.2023Informe 13.11.2023pdf594.9kb Informe 10.11.2023Informe 10.11.2023pdf593.5kb Informe 09.11.2023Informe 09.11.2023pdf598.1kb Informe 08.11.2023Informe 08.11.2023pdf602.8kb Informe 07.11.2023Informe 07.11.2023pdf606.8kb Informe 06.11.2023Informe 06.11.2023pdf611.4kb Informe 03.11.2023Informe 03.11.2023pdf610kb Informe 02.11.2023Informe 02.11.2023pdf607.6kb Informe 01.11.2023Informe 01.11.2023pdf600.2kb