Contenido principal

Estudios y estadísticas

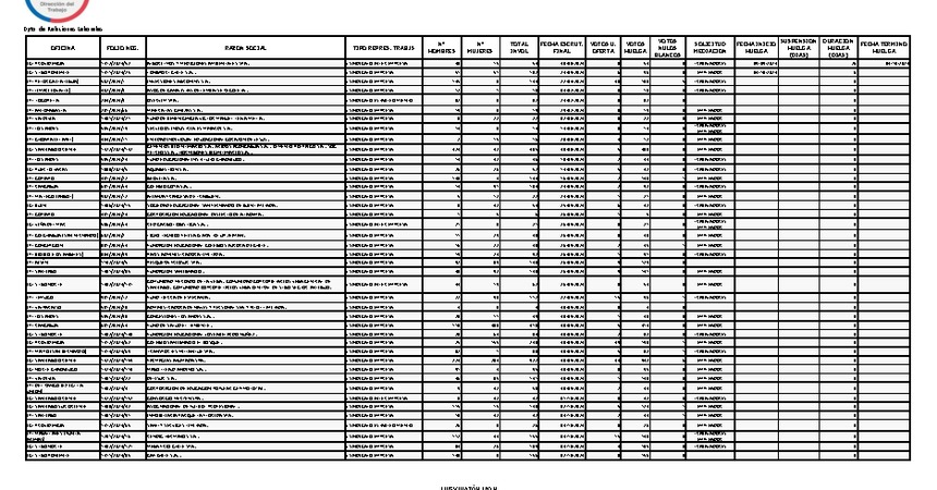
Informe diario de huelgas legales octubre 2024

Informe 30.10.2024Informe 30.10.2024pdf165.8kb Informe 29.10.2024Informe 29.10.2024pdf158.5kb Informe 28.10.2024Informe 28.10.2024pdf158.5kb Informe 25.10.2024Informe 25.10.2024pdf159.5kb Informe 24.10.2024Informe 24.10.2024pdf155.3kb Informe 23.10.2024Informe 23.10.2024pdf157.4kb Informe 22.10.2024Informe 22.10.2024pdf155.3kb Informe 21.10.2024Informe 21.10.2024pdf155.3kb Informe 18.10.2024Informe 18.10.2024pdf154.4kb Informe 17.10.2024Informe 17.10.2024pdf155kb Informe 16.10.2024Informe 16.10.2024pdf158.3kb Informe 15.10.2024Informe 15.10.2024pdf155.8kb Informe 14.10.2024Informe 14.10.2024pdf152.8kb Informe 11.10.2024Informe 11.10.2024pdf154.1kb Informe 10.10.2024Informe 10.10.2024pdf161.9kb Informe 09.10.2024Informe 09.10.2024pdf166.3kb Informe 08.10.2024Informe 08.10.2024pdf175.7kb Informe 07.10.2024Informe 07.10.2024pdf182.8kb Informe 04.10.2024Informe 04.10.2024pdf182.7kb Informe 03.10.2024Informe 03.10.2024pdf186kb Informe 02.10.2024Informe 02.10.2024pdf184.1kb Informe 01.10.2024Informe 01.10.2024pdf180.8kb