Contenido principal

Estudios y estadísticas

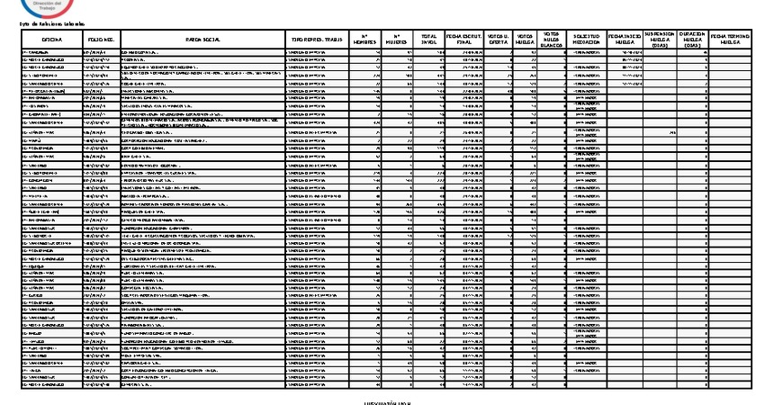
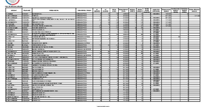
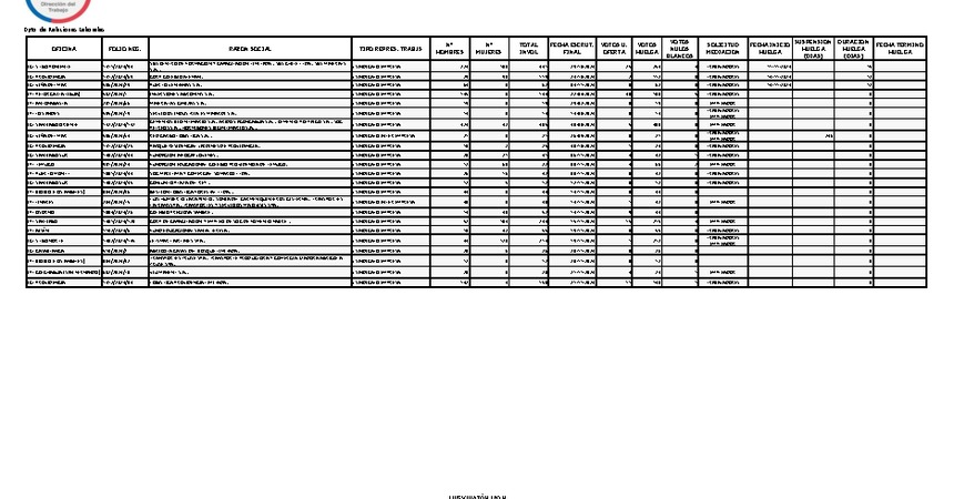
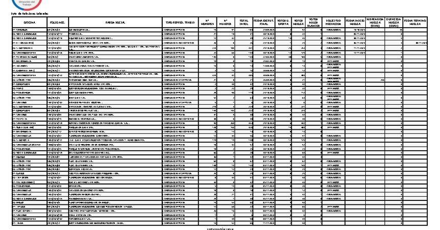
Informe diario de huelgas legales noviembre 2024

Informe 29.11.2024Informe 29.11.2024pdf163kb Informe 28.11.2024Informe 28.11.2024pdf152kb Informe 27.11.2024Informe 27.11.2024pdf147.6kb Informe 26.11.2024Informe 26.11.2024pdf145.6kb Informe 25.11.2024Informe 25.11.2024pdf142.1kb Informe 22.11.2024Informe 22.11.2024pdf142.9kb Informe 21.11.2024Informe 21.11.2024pdf146.7kb Informe 20.11.2024Informe 20.11.2024pdf142.7kb Informe 19.11.2024Informe 19.11.2024pdf147kb Informe 18.11.2024Informe 18.11.2024pdf156.8kb Informe 15.11.2024Informe 15.11.2024pdf160.5kb Informe 14.11.2024Informe 14.11.2024pdf167.9kb Informe 13.11.2024Informe 13.11.2024pdf169.8kb Informe 12.11.2024Informe 12.11.2024pdf170.5kb Informe 11.11.2024Informe 11.11.2024pdf177.5kb Informe 08.11.2024Informe 08.11.2024pdf175.6kb Informe 07.11.2024Informe 07.11.2024pdf177.3kb Informe 06.11.2024Informe 06.11.2024pdf181.6kb Informe 05.11.2024Informe 05.11.2024pdf179.4kb Informe 04.11.2024Informe 04.11.2024pdf170.2kb