Contenido principal

Estudios y estadísticas

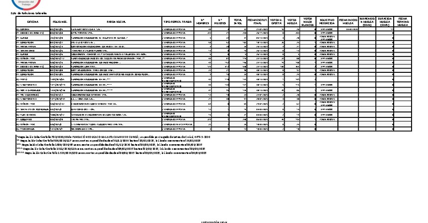
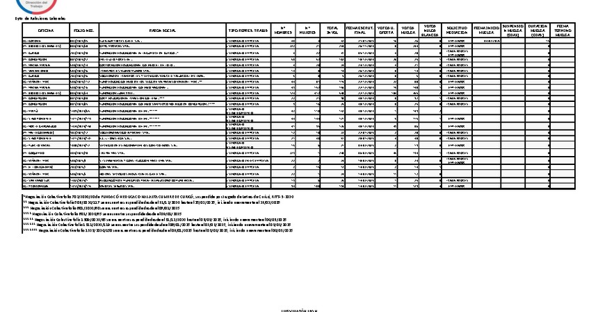
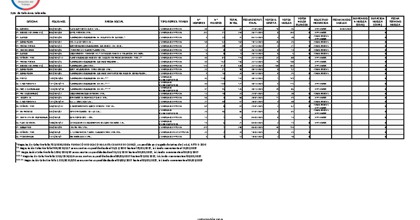
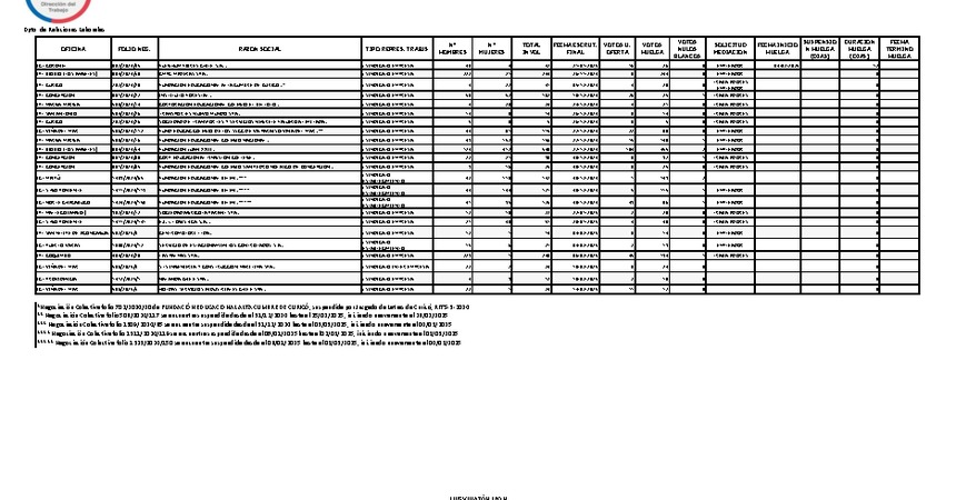
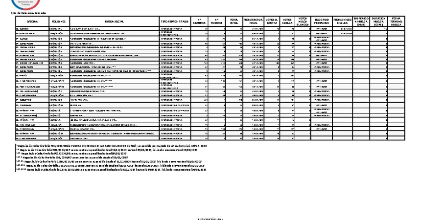
Informe diario de huelgas legales febrero 2025

Informe 28.02.2025Informe 28.02.2025pdf159.3kb Informe 27.02.2025Informe 27.02.2025pdf161.6kb Informe 26.02.2025Informe 26.02.2025pdf157.7kb Informe 25.02.2025Informe 25.02.2025pdf159kb Informe 24.02.2025Informe 24.02.2025pdf156.2kb Informe 21.02.2025Informe 21.02.2025pdf156.4kb Informe 20.02.2025Informe 20.02.2025pdf155.4kb Informe 19.02.2025Informe 19.02.2025pdf154.3kb Informe 18.02.2025Informe 18.02.2025pdf159.5kb Informe 17.02.2025Informe 17.02.2025pdf158.2kb Informe 14.02.2025Informe 14.02.2025pdf155.4kb Informe 13.02.2025Informe 13.02.2025pdf155.5kb Informe 12.02.2025Informe 12.02.2025pdf156.8kb Informe 11.02.2025Informe 11.02.2025pdf158kb Informe 10.02.2025Informe 10.02.2025pdf155.6kb Informe 07.02.2025Informe 07.02.2025pdf158.1kb Informe 06.02.2025Informe 06.02.2025pdf156.6kb Informe 05.02.2025Informe 05.02.2025pdf157.8kb Informe 04.02.2025Informe 04.02.2025pdf156.6kb Informe 03.02.2025Informe 03.02.2025pdf155.1kb