Contenido principal

Estudios y estadísticas

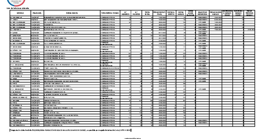
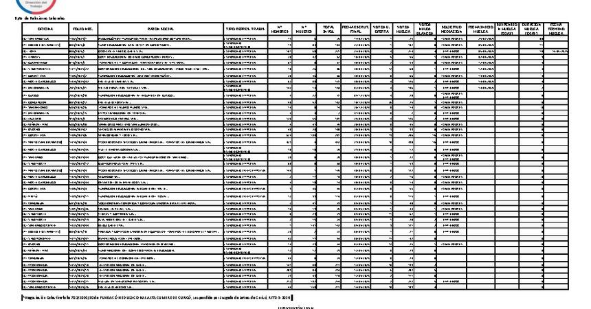
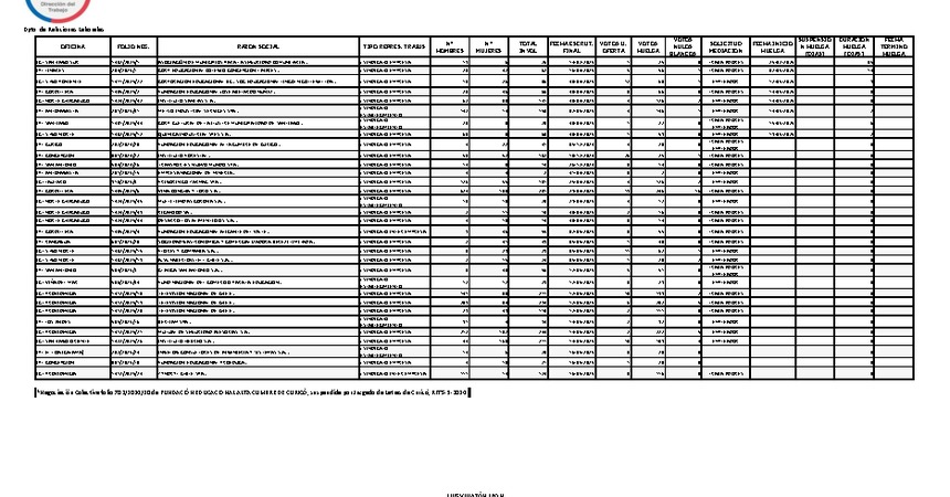
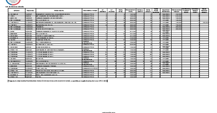
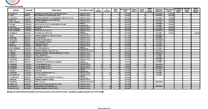
Informe diario de huelgas legales mayo 2025

Informe 30.05.2025Informe 30.05.2025pdf180.3kb Informe 29.05.2025Informe 29.05.2025pdf170.2kb Informe 28.05.2025Informe 28.05.2025pdf156.7kb Informe 27.05.2025Informe 27.05.2025pdf153.6kb Informe 26.05.2025Informe 26.05.2025pdf155.4kb Informe 23.05.2025Informe 23.05.2025pdf158.8kb Informe 22.05.2025Informe 22.05.2025pdf161.3kb Informe 20.05.2025Informe 20.05.2025pdf157.4kb Informe 19.05.2025Informe 19.05.2025pdf163.2kb Informe 16.05.2025Informe 16.05.2025pdf165.4kb Informe 15.05.2025Informe 15.05.2025pdf169.9kb Informe 14.05.2025Informe 14.05.2025pdf171.2kb Informe 13.05.2025Informe 13.05.2025pdf184.9kb Informe 12.05.2025Informe 12.05.2025pdf191.2kb Informe 09.05.2025Informe 09.05.2025pdf198.1kb Informe 08.05.2025Informe 08.05.2025pdf200.5kb Informe 07.05.2025Informe 07.05.2025pdf199.8kb Informe 06.05.2025Informe 06.05.2025pdf198kb Informe 05.05.2025Informe 05.05.2025pdf188.3kb Informe 02.05.2025Informe 02.05.2025pdf181.4kb