Contenido principal

Estudios y estadísticas

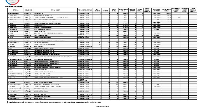
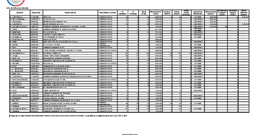
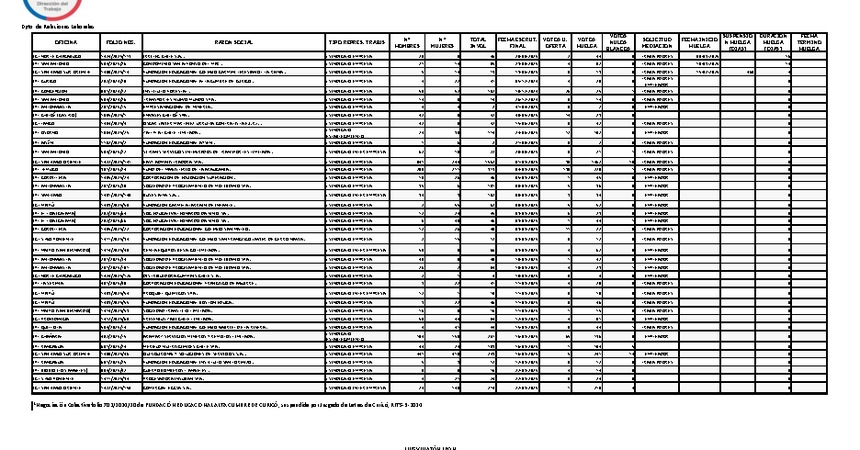
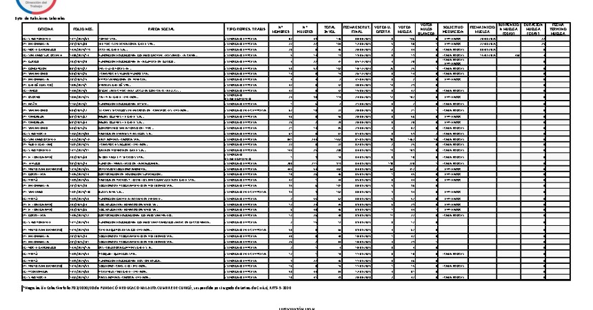
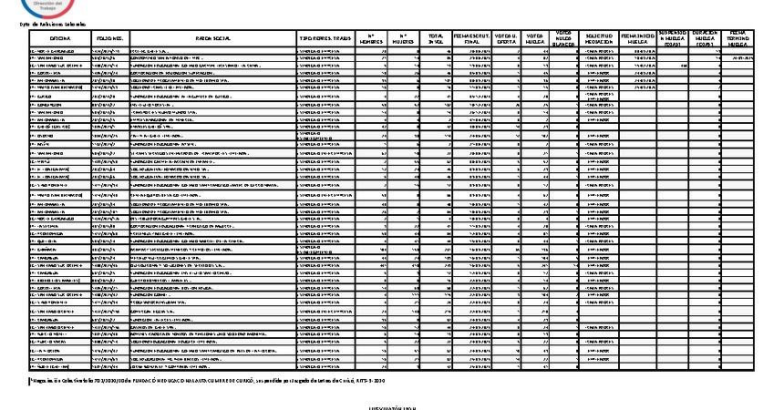
Informe diario de huelgas legales Septiembre 2025

Informe 30.09.2025Informe 30.09.2025pdf189.4kb Informe 29.09.2025Informe 29.09.2025pdf182.4kb Informe 26.09.2025Informe 26.09.2025pdf172.5kb Informe 25.09.2025Informe 25.09.2025pdf170.6kb Informe 24.09.2025Informe 24.09.2025pdf171.9kb Informe 23.09.2025Informe 23.09.2025pdf168.1kb Informe 22.09.2025Informe 22.09.2025pdf165.8kb Informe 17.09.2025Informe 17.09.2025pdf168.2kb Informe 16.09.2025Informe 16.09.2025pdf168.1kb Informe 15.09.2025Informe 15.09.2025pdf170.1kb Informe 12.09.2025Informe 12.09.2025pdf183.6kb Informe 11.09.2025Informe 11.09.2025pdf189.1kb Informe 10.09.2025Informe 10.09.2025pdf193.4kb Informe 09.09.2025Informe 09.09.2025pdf198.2kb Informe 08.09.2025Informe 08.09.2025pdf203kb Informe 05.09.2025Informe 05.09.2025pdf212.3kb Informe 04.09.2025Informe 04.09.2025pdf216kb Informe 03.09.2025Informe 03.09.2025pdf218.6kb Informe 02.09.2025Informe 02.09.2025pdf213.1kb Informe 01.09.2025Informe 01.09.2025pdf210.5kb