Contenido principal

Estudios y estadísticas

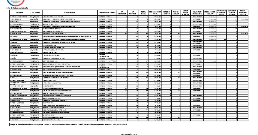
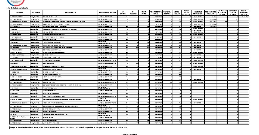
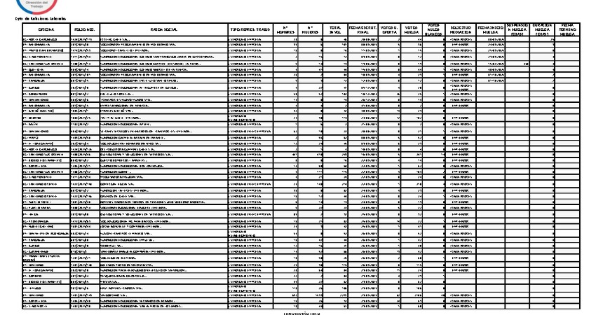
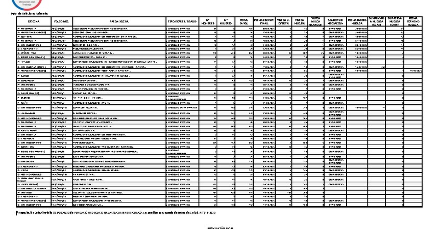
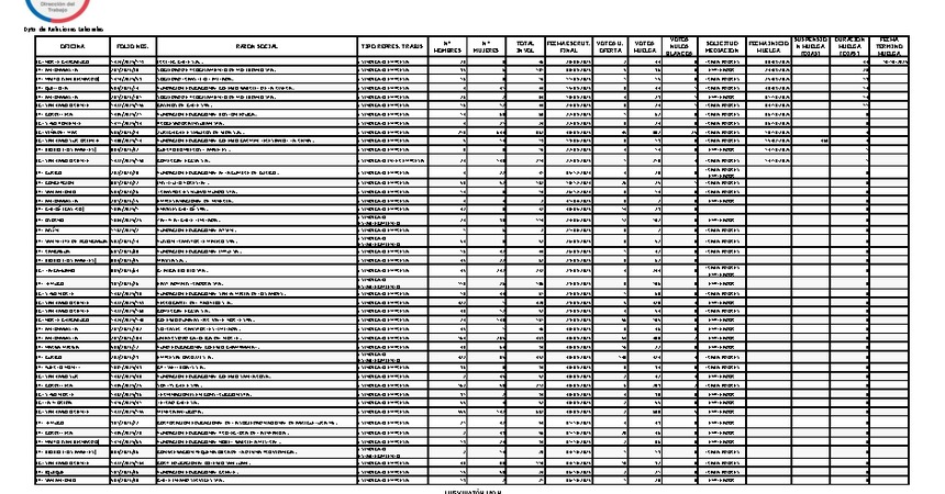
Informe diario de huelgas legales Octubre 2025

Informe 30.10.2025Informe 30.10.2025pdf169.4kb Informe 29.10.2025Informe 29.10.2025pdf166.6kb Informe 28.10.2025Informe 28.10.2025pdf159kb Informe 27.10.2025Informe 27.10.2025pdf155.8kb Informe 24.10.2025Informe 24.10.2025pdf157.1kb Informe 23.10.2025Informe 23.10.2025pdf158.6kb Informe 22.10.2025Informe 22.10.2025pdf162.4kb Informe 21.10.2025Informe 21.10.2025pdf162.1kb Informe 20.10.2025Informe 20.10.2025pdf171.6kb Informe 17.10.2025Informe 17.10.2025pdf168.4kb Informe 16.10.2025Informe 16.10.2025pdf174.5kb Informe 15.10.2025Informe 15.10.2025pdf183.7kb Informe 14.10.2025Informe 14.10.2025pdf182.6kb Informe 13.10.2025Informe 13.10.2025pdf186.2kb Informe 10.10.2025Informe 10.10.2025pdf191kb Informe 09.10.2025Informe 09.10.2025pdf199.5kb Informe 08.10.2025Informe 08.10.2025pdf204.4kb Informe 07.10.2025Informe 07.10.2025pdf202.5kb Informe 06.10.2025Informe 06.10.2025pdf205kb Informe 03.10.2025Informe 03.10.2025pdf200.8kb Informe 02.10.2025Informe 02.10.2025pdf203kb Informe 01.10.2025Informe 01.10.2025pdf195.3kb