Contenido principal

Estudios y estadísticas

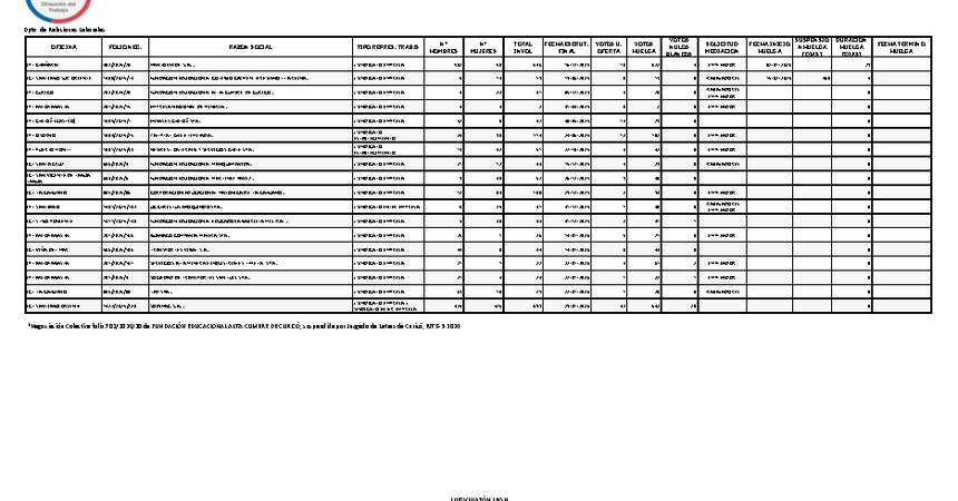
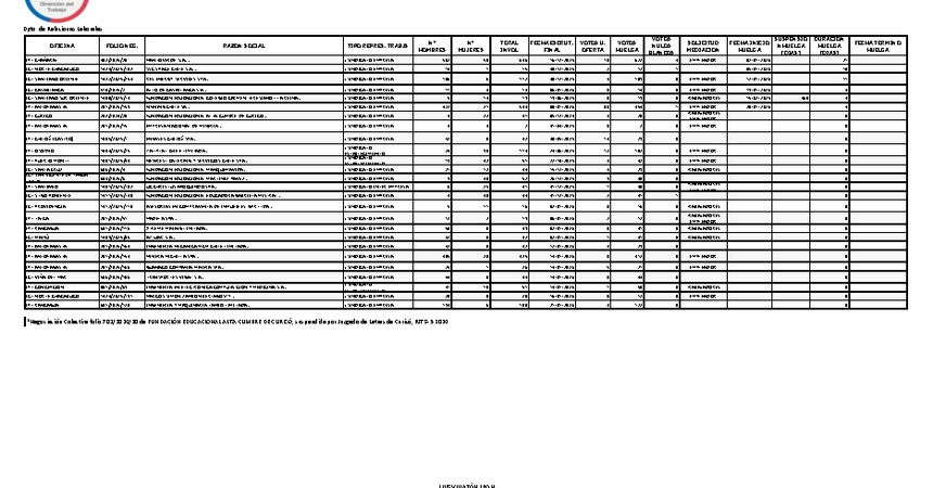
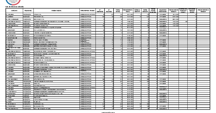
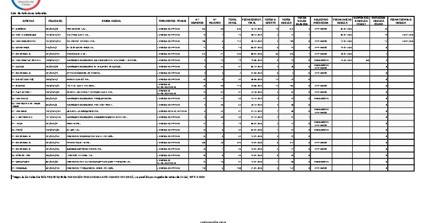
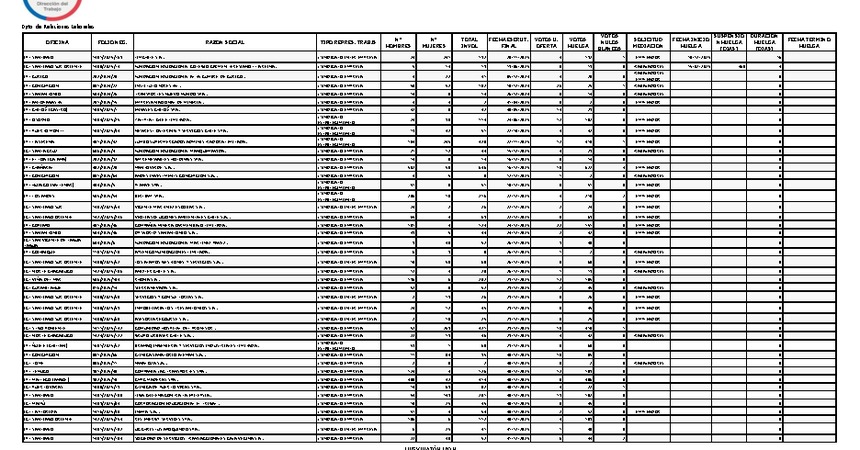
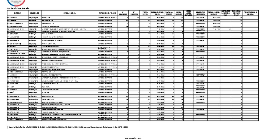
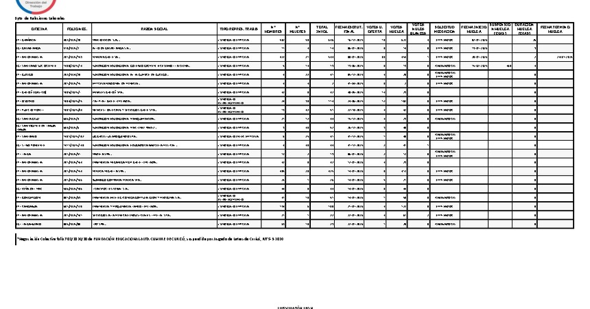
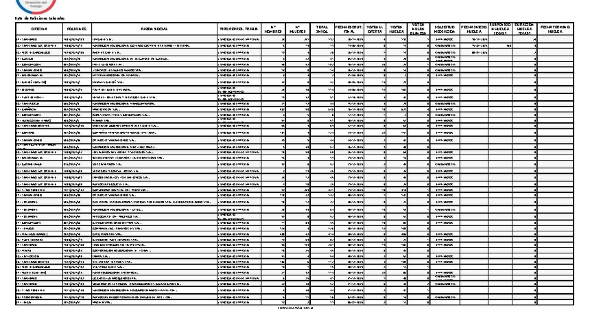
Informe diario de huelgas legales Enero 2026

Informe 30.01.2026Informe 30.01.2026pdf142kb Informe 29.01.2026Informe 29.01.2026pdf143.9kb Informe 28.01.2026Informe 28.01.2026pdf146.4kb Informe 27.01.2026Informe 27.01.2026pdf147.5kb Informe 26.01.2026Informe 26.01.2026pdf148.4kb Informe 23.01.2026Informe 23.01.2026pdf150.4kb Informe 22.01.2026Informe 22.01.2026pdf152.4kb Informe 21.01.2026Informe 21.01.2026pdf156kb Informe 20.01.2026Informe 20.01.2026pdf157.2kb Informe 16.01.2026Informe 16.01.2026pdf167.1kb Informe 15.01.2026Informe 15.01.2026pdf166.5kb Informe 14.01.2026Informe 14.01.2026pdf169.7kb Informe 13.01.2026Informe 13.01.2026pdf177.8kb Informe 12.01.2026Informe 12.01.2026pdf181.8kb Informe 09.01.2026Informe 09.01.2026pdf184.8kb Informe 08.01.2026Informe 08.01.2026pdf186.1kb Informe 07.01.2026Informe 07.01.2026pdf185.5kb Informe 06.01.2026Informe 06.01.2026pdf188.9kb Informe 05.01.2026Informe 05.01.2026pdf186.8kb Informe 02.01.2026Informe 02.01.2026pdf179.1kb