Contenido principal

Estudios y estadísticas

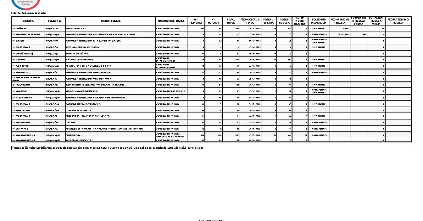
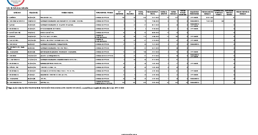
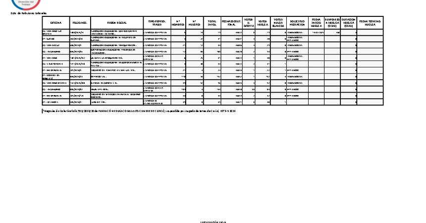
Informe diario de huelgas legales Febrero 2026

Informe 27.02.2026Informe 27.02.2026pdf150.3kb Informe 26.02.2026Informe 26.02.2026pdf144.2kb Informe 25.02.2026Informe 25.02.2026pdf133.5kb Informe 24.02.2026Informe 24.02.2026pdf129kb Informe 20.02.2026Informe 20.02.2026pdf134.8kb Informe 19.02.2026Informe 19.02.2026pdf544.3kb Informe 18.02.2026Informe 18.02.2026pdf543.2kb Informe 17.02.2026Informe 17.02.2026pdf134.7kb Informe 16.02.2026Informe 16.02.2026pdf134.6kb Informe 13.02.2026Informe 13.02.2026pdf134.5kb Informe 12.02.2026Informe 12.02.2026pdf137.5kb Informe 11.02.2026Informe 11.02.2026pdf141.9kb Informe 10.02.2026Informe 10.02.2026pdf144kb Informe 09.02.2026Informe 09.02.2026pdf145.2kb Informe 06.02.2026Informe 06.02.2026pdf145.8kb Informe 05.02.2026Informe 05.02.2026pdf147.5kb Informe 04.02.2026Informe 04.02.2026pdf145.7kb Informe 03.02.2026Informe 03.02.2026pdf143.2kb Informe 02.02.2026Informe 02.02.2026pdf142.1kb