Contenido principal

Estudios y estadísticas

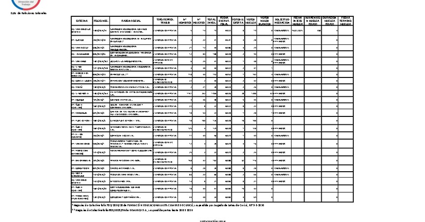
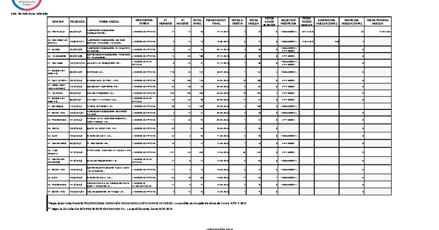
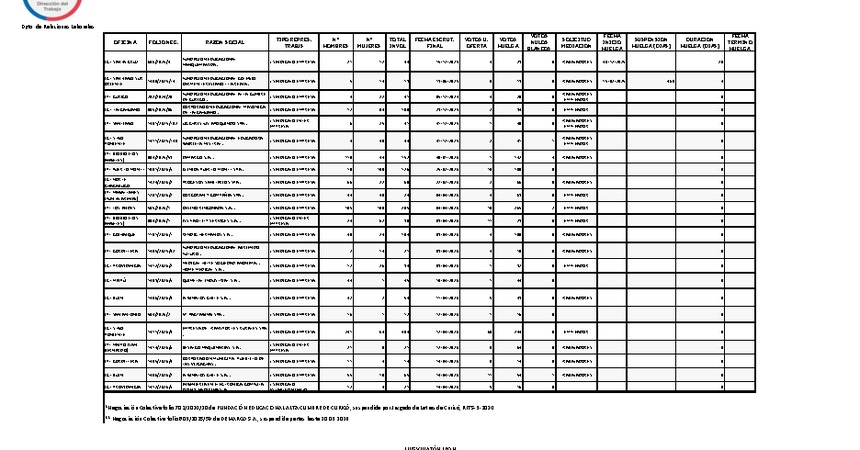
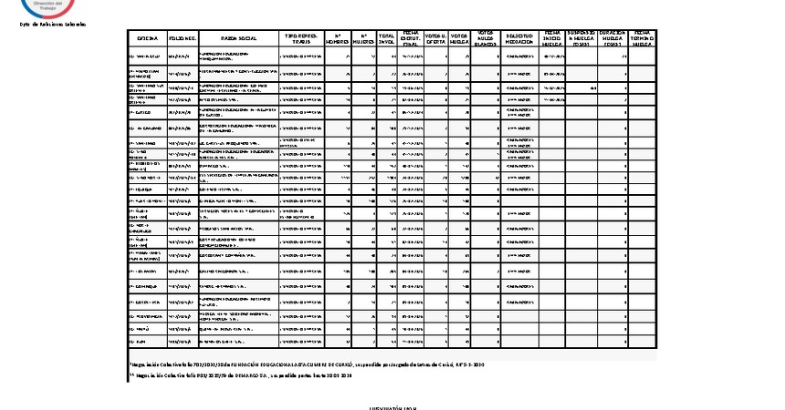
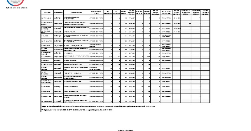
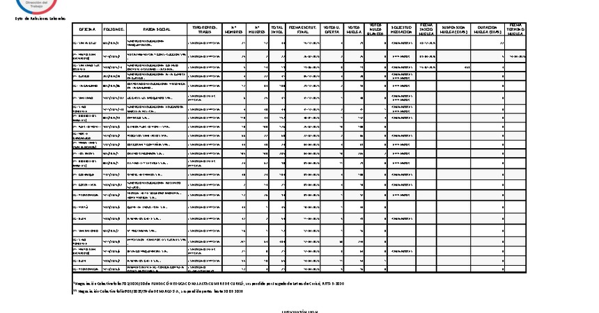
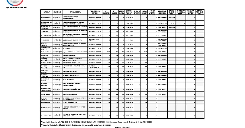
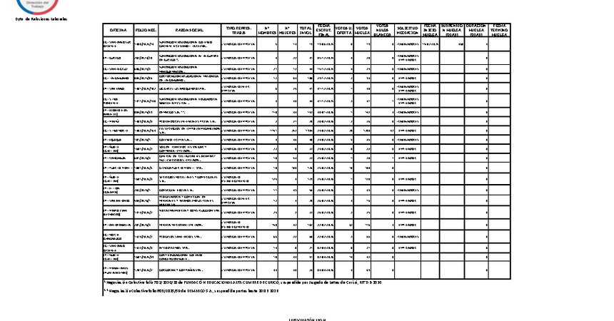
Informe diario de huelgas legales Marzo 2026

Informe 31.03.2026Informe 31.03.2026pdf134.5kb Informe 30.03.2026Informe 30.03.2026pdf142.8kb Informe 27.03.2026Informe 27.03.2026pdf138.9kb Informe 26.03.2026Informe 26.03.2026pdf139kb Informe 25.03.2026Informe 25.03.2026pdf140.4kb Informe 24.03.2026Informe 24.03.2026pdf141.7kb Informe 23.03.2026Informe 23.03.2026pdf142.9kb Informe 20.03.2026Informe 20.03.2026pdf142.8kb Informe 19.03.2026Informe 19.03.2026pdf151.8kb Informe 18.03.2026Informe 18.03.2026pdf154.4kb Informe 17.03.2026Informe 17.03.2026pdf155.5kb Informe 16.03.2026Informe 16.03.2026pdf155.7kb Informe 13.03.2026Informe 13.03.2026pdf153.3kb Informe 12.03.2026Informe 12.03.2026pdf154.6kb Informe 11.03.2026Informe 11.03.2026pdf152.3kb Informe 10.03.2026Informe 10.03.2026pdf155.8kb Informe 09.03.2026Informe 09.03.2026pdf153.4kb Informe 06.03.2026Informe 06.03.2026pdf154.7kb Informe 05.03.2026Informe 05.03.2026pdf157kb Informe 04.03.2026Informe 04.03.2026pdf160.7kb Informe 03.03.2026Informe 03.03.2026pdf559kb Informe 02.03.2026Informe 02.03.2026pdf560.1kb