Contenido principal

Estudios y estadísticas

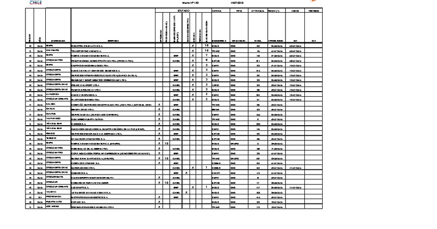
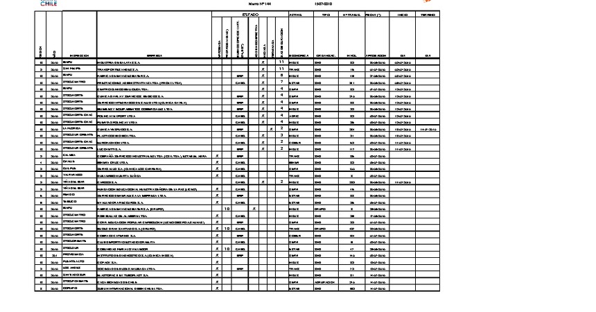
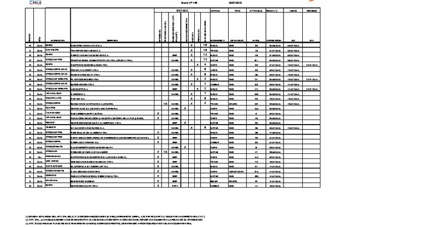
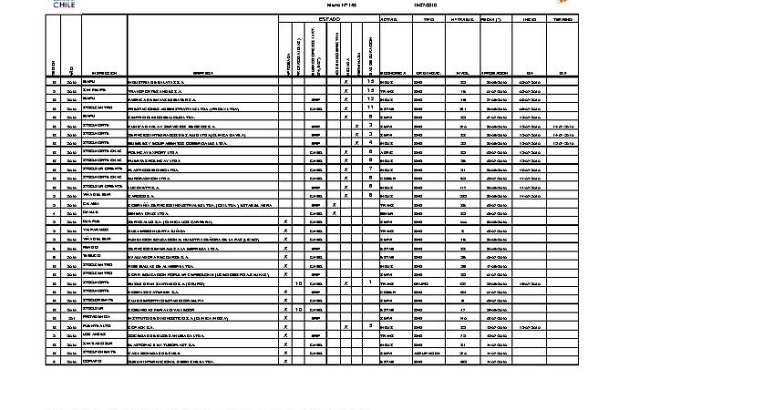
Informe diario de huelgas julio 2010

Informe 30.07.2010Informe 30.07.2010pdf46.6kb Informe 29.07.2010Informe 29.07.2010pdf44kb Informe 28.07.2010Informe 28.07.2010pdf42.4kb Informe 27.07.2010Informe 27.07.2010pdf41.2kb Informe 26.07.2010Informe 26.07.2010pdf42.3kb Informe 23.07.2010Informe 23.07.2010pdf42.7kb Informe 22.07.2010Informe 22.07.2010pdf41.9kb Informe 21.07.2010Informe 21.07.2010pdf43.1kb Informe 20.07.2010Informe 20.07.2010pdf46.4kb Informe 19.07.2010Informe 19.07.2010pdf48kb Informe 15.07.2010Informe 15.07.2010pdf48.7kb Informe 14.07.2010Informe 14.07.2010pdf48.1kb Informe 13.07.2010Informe 13.07.2010pdf54.9kb Informe 12.07.2010Informe 12.07.2010pdf54.7kb Informe 09.07.2010Informe 09.07.2010pdf56.3kb Informe 08.07.2010Informe 08.07.2010pdf59.7kb Informe 07.07.2010Informe 07.07.2010pdf59.1kb Informe 06.07.2010Informe 06.07.2010pdf65.3kb Informe 05.07.2010Informe 05.07.2010pdf59.3kb Informe 02.07.2010Informe 02.07.2010pdf58.7kb Informe 01.07.2010Informe 01.07.2010pdf54.3kb