Contenido principal

Estudios y estadísticas

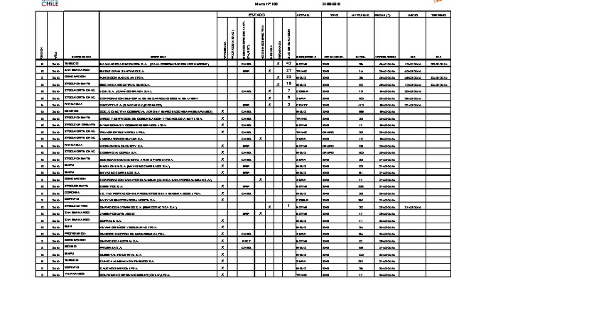
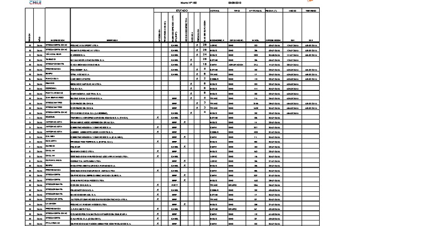
Informe diario de huelgas agosto 2010

Informe 31.08.2010Informe 31.08.2010pdf46.7kb Informe 30.08.2010Informe 30.08.2010pdf43.8kb Informe 27.08.2010Informe 27.08.2010pdf36.1kb Informe 26.08.2010Informe 26.08.2010pdf35.4kb Informe 25.08.2010Informe 25.08.2010pdf35.1kb Informe 24.08.2010Informe 24.08.2010pdf13.9kb Informe 23.08.2010Informe 23.08.2010pdf14.1kb Informe 20.08.2010Informe 20.08.2010pdf34kb Informe 19.08.2010Informe 19.08.2010pdf34.9kb Informe 18.08.2010Informe 18.08.2010pdf34.2kb Informe 17.08.2010Informe 17.08.2010pdf34.9kb Informe 16.08.2010Informe 16.08.2010pdf36kb Informe 13.08.2010Informe 13.08.2010pdf35.2kb Informe 12.08.2010Informe 12.08.2010pdf35.7kb Informe 11.08.2010Informe 11.08.2010pdf41.3kb Informe 10.08.2010Informe 10.08.2010pdf43.5kb Informe 09.08.2010Informe 09.08.2010pdf53.2kb Informe 06.08.2010Informe 06.08.2010pdf54.6kb Informe 05.08.2010Informe 05.08.2010pdf55.6kb Informe 04.08.2010Informe 04.08.2010pdf54.5kb Informe 03.08.2010Informe 03.08.2010pdf56kb Informe 02.08.2010Informe 02.08.2010pdf54.3kb